Introducción
La tesis se enmarca en los estudios observacionales, cuantitativos de análisis de fuentes secundarias, específicamente en los estudios epidemiológicos que podemos situar en la epidemiología del riesgo por el diseño conceptual y metodológico de las encuestas para el registro de características individuales que se traducen en condiciones de vulnerabilidad o riesgo para la ocurrencia del fenómeno que se pretende explicar (Ayres, 2005).
La estrategia metodológica que define la tesis tiene las posibilidades y límites que impone la fuente de datos a utilizar: no hay dominio de la investigadora que utiliza estas fuentes sobre las definiciones conceptuales y operacionales en el instrumento de recolección de datos, como así tampoco de la definición de la unidad de análisis y niveles de representatividad de la misma, que queda definido por el diseño muestral. Sin embargo, en este último aspecto recae la mayor ventaja debido a la cantidad de información homogénea que las grandes muestras nacionales permiten registrar y su réplica en diferentes años, habilitan un análisis comparativo sólido y, en ese sentido, son posibles lecturas de tendencias y de cambios en un período de tiempo, incluso en sub grupos poblaciones que se consideran de interés. Por otra parte, dado el nivel internacional de estandarización de estas metodologías, permite la comparación con otros países.
Los cuestionarios utilizados en las encuestas nacionales ofrecen una batería extensa de variables, cuyos datos han sido recogidos con un modo específico de preguntar y de ofrecer alternativas de respuestas. En este aspecto (preguntas con opciones de respuesta cerrada) recae la mayor limitación de esta técnica de investigación, sobre todo en aquellas preguntas y respuestas que intentan recoger percepciones o que buscan indagar, de algún modo, las emociones de las personas que participan del estudio. Por otra parte, el armado definitivo del modelo de regresión logística multivariado que se utilizó para el análisis de la información, también implicó un proceso de análisis de las variables disponibles y su rendimiento en las pruebas iniciales del modelo.
Este capítulo contiene cinco secciones, en el ítem 2.1, se aborda la estrategia de conocimiento definida para dar respuesta a las preguntas de la tesis y dar cumplimiento a los objetivos propuestos. En el punto 2.2, se describen las características de las fuentes de información sobre las que se realiza el análisis. En el punto 2.3, se presentan las definiciones conceptuales y operacionales de los indicadores de consumo y su comparabilidad en el periodo 2005-2011. En el apartado 2.4, se conceptualiza el modelo de análisis de regresión logística multivariado y en el último, el 2.5, se describe el proceso de diseño final del modelo de regresión logística multivariado y se detallan las variables que se incorporan en el modelo definitivo.
2.1 Diseño de la estrategia de conocimiento
La definición de la estrategia metodológica para el desarrollo de la tesis fue un gran desafío, sobre todo desde el punto de vista conceptual, al plantear un análisis con perspectiva de género cuando la evidencia disponible no ha sido buscada con el marco conceptual apropiado. De todas maneras, y tal como será desarrollado en el capítulo siguiente, la inquietud se sustenta en la consideración sobre la necesidad de realizar este ejercicio metodológico y de conocimiento en busca de superar compartimentos estancos cuando la mirada queda constreñida -ante la posibilidad de abordar las cuestiones de género en la investigación cuantitativa- a la consideración esencialista del sexo o a la consideración exclusivamente relacional del género, como fue mencionado en el planteamiento del problema y será desarrollado en el capítulo 3.
En este marco, definir la estrategia metodológica implicó un doble desafío. Primero, considerar al sexo registrado en las encuestas, en sus opciones femenino y masculino, como expresiones del género, ya que fueron los y las estudiantes quienes se ubicaron en una u otra categoría, de modo voluntario y en condiciones de anonimato. Además, se entiende al sexo como una categoría normativa o con ideal regulatorio –según la definición de Foucault- que funciona como norma y regla, y su materialización se impone y se logra –a veces no- mediante prácticas sumamente reguladas, manifestando su carácter performativo (Butler, 2002). Y, segundo, dadas las características inmodificables de las fuentes de datos disponibles, buscar evidencias de diferenciales de género en los determinantes del consumo de diferentes sustancias psicoactivas, en base a las variables que indican esos factores de riesgo o de protección y que fueron operacionalizadas en las preguntas del cuestionario con sus opciones de respuesta.
Vinculado a estos desafíos, el tercer objetivo buscado en la tesis es precisamente, dar cuenta de los límites que tienen algunas de estas definiciones a priori, como herramienta idónea (válida y sensible) para captar o registrar la información/indicador que se busca. Para lo cual se propone sostener una mirada atenta y crítica sobre los modos en que fueron operacionalizados los factores de riesgo y de protección, tanto en general y específicamente teniendo en cuenta la perspectiva de género. Es oportuno aclarar que no se está planteando una estrategia de validación de los indicadores, lo que supondría otra investigación y otro diseño, sino de observar a partir de los resultados que se encuentren en este análisis, el rendimiento de los mismos. Por rendimiento se entiende la coherencia como factor de riesgo o de protección, el impacto encontrado y la comprensión de lo que implica, es decir, que el sentido de esa acción o actitud o percepción sea fácilmente captable.
El objetivo general de la tesis ya plantea la extensión de la observación hacia una unidad de análisis que es una categoría poblacional, los y las estudiantes del nivel medio en Argentina, cuyo comportamiento a ser estudiado es el consumo de sustancias psicoactivas. Este fenómeno es registrado a partir de encuestas poblacionales realizadas de modo simultáneo en todo el país y resguardando similares condiciones en su aplicación, de forma repetida en diferentes años: 2005, 2007, 2009 y 2011. Los y las estudiantes que respondieron la encuesta fueron seleccionados aleatoriamente de acuerdo a un diseño de muestra específico y los indicadores principales en relación al fenómeno fueron los mismos en los años bajo análisis.
El diseño conceptual y metodológico de estos estudios está estandarizado a nivel regional, condición que presenta la ventaja de habilitar comparaciones con otros países de América Latina y el Caribe, e incluso con Estados Unidos y Canadá, dependiendo del indicador. La encuesta en estudiantes del nivel medio sobre consumo de sustancias psicoactivas es uno de los principales estudios que forman parte del Sistema de Datos Uniformes sobre el consumo de drogas (Programa SIDUC[1]), del Observatorio Interamericano sobre Drogas (OID) de la Comisión Interamericana para el Control del Abuso de Drogas (CICAD) de la OEA.
El SIDUC es la metodología que mira la demanda de drogas con el fin de obtener datos, construir conceptos explicativos y sostener la respuesta al problema del consumo de sustancias psicoactivas (SPA). Busca, por lo tanto: 1. Obtener una información transversal que refleje ciertas de las características de los consumidores en determinados colectivos (…) 2. Obtener una información longitudinal que permita describir la evolución en el tiempo de las características de los consumidores en estos mismos colectivos y (…) 3. Construir modelos explicativos (OID-CICAD, 2011:4).
La encuesta en estudiantes del nivel medio tuvo su primera prueba piloto realizada por el OID-CICAD en el año 1997 y el primer informe se publicó al año siguiente. Esta encuesta tiene como referencia metodológica y conceptual al estudio Monitoreando el Futuro (Monitoring the Future – MTF en sus siglas en inglés), que es realizada por investigadores del Instituto de Investigación Social de la Universidad de Michigan, de los Estados Unidos, desde el año 1975. MTF articula tres grandes objetivos en torno al monitoreo de una amplia gama de comportamientos relacionados con las drogas, posibles factores explicativos, como actitudes, creencias y percepciones, mediante encuestas representativas a nivel nacional a distintas poblaciones. En estudiantes del último año de la secundaria, comenzó en 1975, y luego se amplió a los y las estudiantes del octavo y décimo grado a partir de 1991 y en estudiantes universitarios y adultos. El MTF busca conocer los cambios en los patrones de consumo, estudiar las causas, consecuencias y patrones de desarrollo asociados a diferentes tipos de cambios en el uso de drogas (Johnston et al., 2016).
En el marco del trabajo y de las funciones de la CICAD-OEA con las Comisiones Nacionales de Drogas de los Estados Miembros de la organización, SEDRONAR[2] incorpora este instrumento metodológico, que fue presentado y compartido en reuniones internacionales del Programa SIDUC y en el marco de los acuerdos internacionales con el Programa de Naciones Unidas.
Respecto de los márgenes de acción de los países para introducir modificaciones a los cuestionarios propuestos por los organismos internacionales, hay que resaltar que la CICAD, por su normativa, expresa el consenso alcanzado por el conjunto de delegados y delegadas de países que conforman la Comisión a través de los grupos de expertos y expertas y, por lo tanto, de algún modo estos instrumentos metodológicos también han sido elaborados con la participación de las delegaciones y grupos de expertos y expertas nacionales en reuniones específicas.[3] En este sentido, es relevante mencionar la existencia, sobre todo a partir del año 2004, de ámbitos adicionales a las instancias formales de la Comisión y sus grupos de expertos y expertas, de reuniones técnicas en donde fue posible intercambiar opiniones sobre los cuestionarios, las variables y los modos de llevar adelante la ejecución de los estudios. La experiencia adquirida por diferentes países en la investigación epidemiológica en el consumo de drogas, como Estados Unidos, España y el Observatorio Europeo y Chile, siempre fue un punto de referencia importante y valorado por los países que iniciaban el proceso de investigación.
De todas maneras, existen y existieron límites a introducir cambios sustanciales a los cuestionarios cuya razón hay que buscarla en dos aspectos conectados. Por un lado, el diseño propio de estos estudios epidemiológicos que busca la comparabilidad en el tiempo a nivel nacional y provincial,[4] para monitorear fenómenos e indicadores que puedan ser insumo para la evaluación de las políticas implementadas. Por otro lado, por los compromisos asumidos en estudios regionales multicéntricos, coordinados por organismos internacionales e incluso, con algún tipo de financiamiento.[5]
Desde el año 2001 al 2011, el cuestionario utilizado en las encuestas en estudiantes del nivel medio en Argentina y en otros países de la región, como Uruguay, Chile, Bolivia, Colombia, Ecuador y Perú,[6] tuvo cambios importantes en tanto se agregaron escalas para estimar el uso problemático de sustancias y para caracterizar la atención parental, también se introdujeron preguntas para profundizar el conocimiento de los patrones de consumo de alcohol y otras drogas, para conocer nuevos aspectos vinculados a la disponibilidad y acceso de drogas, entre otras modificaciones. Por último, los compromisos regionales en torno a las variables de un cuestionario alcanzan a los indicadores considerados básicos, y cada país siempre pudo introducir nuevos módulos temáticos o dimensiones y variables que considerara oportuno investigar, en el marco de lo metodológicamente recomendable sobre la extensión de un cuestionario auto aplicado.
Entonces, las preguntas del cuestionario (se encuentra en el Anexo) utilizado en las encuestas que son nuestras fuentes de información en esta tesis, se orientaron a levantar información sobre aspectos que hacen a diferentes dimensiones que atraviesan a los y las estudiantes del nivel medio:
Variables sociodemográficas: sexo, edad, personas de convivencia, situación conyugal de los padres, tipo de colegio al cual asiste, si trabaja además de estudiar, de cuánto dinero dispone en promedio mensualmente para sus gastos personales.
Variables sobre el consumo de sustancias psicoactivas: consumo alguna vez en la vida, consumo en los últimos 12 meses, consumo en los últimos 30 días, frecuencia de consumo, cantidades consumidas de diferentes sustancias.
Variables que indagan en otras condiciones y situaciones personales: si repitió algún curso, si faltó con frecuencia al colegio, cuántos días a la semana comparte alguna de las comidas con sus padre-madre o con alguno de ellos/as, si le ofrecieron drogas, si tiene amigos/as o familiares que consumen alcohol o marihuana, entre otras.
Variables que indagan en sus emociones, percepciones, expectativas hacia el futuro: si cree que podrá hacer un proyecto personal en el futuro, si cree que terminará el colegio, si piensa que sus padres-madres se preocupan cuando sale un fin de semana, si ha tenido curiosidad por probar alguna droga o si probaría de tener la ocasión, cuál es el riesgo que considera que tiene una persona que consume alguna droga, entre otras.
De este modo, los cuestionarios utilizados en las encuestas nacionales incorporaron preguntas y opciones de respuesta para captar el indicador de vulnerabilidad o de protección al consumo de sustancias psicoactivas, o los denominados “factores de riesgo y de protección” (Becoña Iglesias, 1999), cualquiera sea la droga, aunque se especifican algunas preguntas que refieren a bebidas alcohólicas y a marihuana, como la percepción de riesgo, el consumo en el entorno y la actitud del grupo de pares en un caso hipotético de consumo.
La gran ventaja de los estudios epidemiológicos y en este caso con muestras nacionales y provinciales, es la representatividad de la información registrada a través de grandes muestras poblacionales y la réplica sistemática de los estudios en un periodo de tiempo, habilita el análisis de tendencia para observar cambios en el tiempo en el fenómeno que se estudia. Otras ventajas de estos diseños consisten en la posibilidad de realizar amplias caracterizaciones del fenómeno, asociaciones entre variables mediante análisis bivariados y diseños explicativos en un esquema de variables dependientes e independientes, a partir del análisis de diseños analíticos multivariados. La descripción, la asociación y el modelo multivariado pueden ser aplicados a toda la población bajo análisis o en subgrupos de interés y permite realizar comparaciones entre subgrupos o categorías. También estos estudios son relevantes para analizar el impacto de las políticas implementadas a nivel poblacional, y, al mismo tiempo, brindan información representativa de grupos sociales para el diseño de políticas públicas basadas en evidencia.
Una de las grandes desventajas que tienen los estudios poblacionales con muestras representativas, es el alto costo económico que implica el levantamiento de la información en muestras a nivel nacional y sobre fenómenos de baja prevalencia -como es el caso de los estudios de consumo de sustancias psicoactivas-, que requieren de un número mayor de casos, y más aún, si se buscan muestras representativas a nivel provincial. Otra desventaja deviene de los límites indagatorios en la recolección de la información, cuando el instrumento de recolección de datos es una encuesta estructurada, es decir que, en el diseño de las preguntas con opciones de respuesta cerradas, se obturan las posibilidades de registrar algo diferente de lo ofrecido como abanico de respuestas. A lo sumo, quedará en ese nunca explicado o comprendido, Otro y otra respuesta, que completa la exhaustividad exigida como condición de una variable.
Respecto del uso de estos estudios como fuente de información secundaria,[7] la gran desventaja para el investigador o investigadora que hace uso de ellos, y en este caso para el análisis propuesto en esta tesis, está vinculado a que los datos fueron recogidos con cuestionarios con preguntas con opciones de respuesta cerrada y sobre la cual no es posible realizar cambios. De todas maneras, sí es posible realizar recodificaciones en las opciones de respuesta, en caso de considerarse pertinente, para organizar las respuestas dadas en algún sentido específico que se pretenda considerar, sobre todo buscando posiciones antagónicas para que el indicador pueda leerse de un modo más preciso. Proceso que se realizó en esta tesis, para incorporar las variables en el modelo de regresión logística multivariado. Por ejemplo, las respuestas a la pregunta sobre si es fácil o difícil conseguir marihuana, las opciones de respuesta en el cuestionario se dividen en cuatro categorías: fácil, difícil, no podría conseguir y no sabe, y en el modelo de regresión logística multivariado se incorporaron dos indicadores: fácil y difícil-no podría conseguir. Otra dificultad que tiene esta técnica es interpretar el sentido de las respuestas cuando las preguntas refieren a aspectos relacionales, por ejemplo, evaluaciones de vínculos con amigos, cuando las respuestas son buena, regular o mala, ya que el sentido de lo bueno, de lo regular y de lo malo, en el caso de la descripción de un vínculo, puede indicar situaciones muy distintas y hasta opuestas cuando esa evaluación no está asociada a un contexto específico o particular.
Dadas estas condiciones, con sus ventajas y límites, y el proceso de caracterización y análisis que esta tesis busca, recae en seis sub grupos específicos: las estudiantes mujeres y los estudiantes varones, situados en sus grados, sea el inicial o del octavo grado (8°), el intermedio o décimo (10°) y el último, o décimo segundo (12°). Es un modo aproximado de analizar los grupos etarios, ya que en el 8° grado se encuentran adolescentes de 14 años y menos, en el 10° grado están mayormente quienes tienen entre 15 y 16 años y en el último grado, estudiantes de 17 años y más. Estos subgrupos, observados del mismo modo –a través del modelo de regresión logística multivariado- posibilitará identificar similitudes y diferencias en sus condiciones objetivas y subjetivas, como determinantes del consumo de sustancias psicoactivas.
Entonces, y dadas las condiciones de diseño de los estudios que son la fuente de información de la tesis enmarcados en los estudios epidemiológicos clásicos, se utilizará como estrategia analítica un modelo de regresión logística multivariado para estimar, en un contexto de interacción de diversos factores de riesgo y de protección, el impacto de los mismos en los consumos de las sustancias psicoactivas en la población bajo estudio.
Esta estrategia metodológica requiere en un primer momento, analizar las prevalencias de consumo de bebidas alcohólicas, del consumo excesivo de alcohol y del consumo de marihuana en el periodo 2005 a 2011, en cada subgrupo de análisis definido, para estimar los cambios según género. Es decir, serán analizadas las prevalencias de consumo actual o del último mes de bebidas alcohólicas, la prevalencia del uso excesivo de alcohol y la prevalencia del uso reciente o del último año de marihuana, en tanto son los tres comportamientos vinculados al consumo a sustancias psicoactivas de mayor relevancia y vigencia en los adolescentes escolarizados, tal como se planteó en el capítulo 1.
En un segundo momento, y recreando a este colectivo de personas en el contexto de toda la información que brindaron y desde el lugar desde donde lo hicieron (el grado), observar cómo han impactado o no esas condiciones o variables en la determinación de los consumos. El modelo de regresión logística multivariado aplicado a cada uno de estos seis grupos poblacionales, ofrece la posibilidad de analizar de forma simultánea el conjunto de variables de contexto y su influencia en los consumos, lo que es significativamente distinto que analizar a cada una de ellas en forma independiente.
Esto significa analizar el peso condicionado por el contexto, de sus condiciones objetivas y de sus percepciones y sentires, en el hecho que interesa, el consumo de cada una de las sustancias analizadas. Cada situación de consumo, sea de bebidas alcohólicas, de consumo excesivo de alcohol y de marihuana, recrea las condiciones que son generales a todos los y las estudiantes, pero también cada una reúne variables específicas que refieren a los consumos específicos, como por ejemplo, la percepción del riesgo del uso ocasional de marihuana es una información que adquiere sentido en el análisis de marihuana y lo mismo en relación a la percepción de riesgo de emborracharse adquiere sentido para quienes tomaron alguna bebida alcohólica y para quienes lo hicieron de un modo excesivo. De igual manera, la oferta de marihuana y la percepción de facilidad de acceso a marihuana, o el fumar tabaco, o la reacción del grupo de pares si supiera que el estudiante fuma marihuana, es de relevancia para el análisis del consumo de marihuana y no de bebidas alcohólicas.
Definir el modelo logístico multivariado fue en sí mismo un proceso de puesta a prueba y selección de variables de acuerdo a su rendimiento o capacidad explicativa, teniendo en cuenta el valor del estimador del coeficiente que da cuenta de la magnitud de la asociación (odds ratio)[8] de la variable observada en su capacidad de ser un factor interviniente en el consumo, sea para incrementar o disminuir la probabilidad del mismo. Se presenta en el punto 2.4 de este capítulo.
Una vez definido el modelo multivariado, se inicia el análisis de los seis subgrupos poblacionales, tanto para el año 2005 como para el año 2011, con el objetivo de analizar el peso de los factores de riesgo y de protección en cada año sobre los tres consumos definidos –bebidas alcohólicas, consumo excesivo de alcohol y marihuana-, y los posibles cambios según género en estudiantes del nivel medio en Argentina. El gráfico siguiente muestra cómo se organizó el proceso metodológico y de análisis estadístico para abordar los objetivos planteados en la tesis.
Gráfico 2.1: Proceso metodológico y de análisis estadístico

En el proceso de selección de variables para el armado del modelo de regresión logística multivariado definitivo, se analiza el rendimiento estadístico de las variables, la coherencia interna y las dificultades para su interpretación, para elaborar una propuesta de revisión del instrumento a partir de la evidencia encontrada. Los resultados del análisis estadístico, que indicará qué determinantes o factores están presentes o no en el incremento o decremento de las probabilidades de los consumos en varones y mujeres, abordados desde una perspectiva de género y de una lectura crítica sobre cómo se operacionalizaron los factores de riesgo y protección, me permitirá arribar a las respuestas sobre las preguntas planteadas en la tesis. De un modo gráfico, se expone este proceso que se retroalimenta en cada una de sus etapas, aunque de modo expositivo se visualizan como etapas separadas.
Gráfico 2.2: Proceso de análisis conceptual

2.2 Descripción de las fuentes de datos utilizadas
Se analizan las bases de datos de los Estudios Nacionales sobre consumo de sustancias psicoactivas en estudiantes de enseñanza media, realizados en el país en los años 2005, 2007, 2009 y 2011. Los estudios fueron realizados por la SEDRONAR,[9] teniendo como referencia los cuestionarios estandarizados del Sistema Interamericano de Datos Uniformes sobre consumo de drogas (SIDUC), de la CICAD-OEA y los ajustes realizados en el marco del Sistema Subregional de Información e Investigación sobre Drogas, de la Oficina de las Naciones Unidas contra la Droga y el Delito (UNODC).[10]
Una digresión que considero importante y vinculada al diseño, acceso y conocimiento sobre las fuentes de datos que utilizaré en la tesis, refiere a mis funciones en SEDRONAR en relación a la ejecución de estos estudios. En tanto responsable de la Oficina de Planificación Estratégica -creada en el año 2001-, fui la responsable, junto al coordinador del programa SIDUC en Argentina, de ejecutar la Primera Encuesta Nacional en estudiantes del nivel medio en el año 2001, sentando las bases metodológicas para los estudios siguientes y en coordinación con el Consejo Federal de Drogas, para garantizar la representatividad provincial de los indicadores estudiados. A partir del año 2003, asumí el rol de coordinadora nacional del Programa SIDUC[11] hasta el año 2013, en tanto coordinadora del área de investigaciones y como directora del Observatorio Argentino de Drogas, dependiendo del año. Lo que es importante resaltar, es que fui parte del diseño de los estudios nacionales mencionados, formé parte de las reuniones técnicas y de coordinación internacional en el marco de los programas de Naciones Unidas y de la Comisión Interamericana de Control del Abuso de Drogas de la OEA, ya citados anteriormente. Del mismo modo, he participado en diferentes instancias de revisión metodológica de otros cuestionarios dentro de este campo temático específico y en el Grupo de Expertos Gubernamentales en rondas multilaterales de evaluación de los indicadores para el monitoreo de las políticas públicas en reducción de la demanda de drogas. Aun así, el uso de las bases de datos de los estudios mencionados se configura para mí, en esta tesis, como fuentes secundarias, en tanto las preguntas que asumo en la misma, no fueron o no estuvieron contempladas al momento del diseño de los cuestionarios. Del mismo modo se entiende el interés personal en relación a proponer una revisión de estos instrumentos considerando una perspectiva de género.
Entonces, retomando, los estudios mencionados y comparables entre sí reúnen las siguientes condiciones metodológicas:
Tipo de muestra: probabilística, bietápica, estratificada en la primera etapa de selección. Las unidades de la primera etapa son los establecimientos educativos del nivel medio (según la base del total de establecimientos escolares del nivel medio proporcionada por el Ministerio de Educación de la Nación). Las unidades de segunda etapa son las aulas. Las aulas se estratificaron según nivel (cursos del 8°, 10° y 12°) y turno (matutino, vespertino y nocturno). Se selecciona aleatoriamente un mínimo de un aula por nivel y turno, y dentro de cada aula seleccionada se encuestan a todos los y las estudiantes presentes y que voluntariamente acepten participar. La muestra tiene representación provincial y nacional, sin embargo, diferentes problemas en el trabajo de campo dificultaron la inclusión de algunas provincias en la base nacional. Debido a que el peso relativo de las provincias ausentes (no las mismas en los diferentes años) en la matrícula nacional es menor, estas ausencias no afectan la lectura nacional. Las provincias faltantes y sus pesos relativos en las matrículas[12] se detallan del siguiente modo: en el año 2005, La Rioja 0,99%, y en el año 2007, Formosa 1,51% y Neuquén 1,53%. En la tabla siguiente se muestra el tamaño de la muestra efectiva en cada estudio, es decir, la cantidad de estudiantes que respondieron el cuestionario; la cantidad de estudiantes representados (expresado en el tamaño de la muestra expandida) y la cantidad de escuelas que participaron en el estudio, es decir, que fueron elegidas aleatoriamente según el diseño muestral explicado. Como se observa, los tamaños van incrementándose en cada estudio, debido a la expansión de la matrícula escolar en estos años, que luego de la crisis socio económica del país en el año 2001, el proceso empieza a revertirse.
Descripción de la muestra según año de estudio. Estudiantes del nivel medio. Argentina

Trabajo de campo: en relación a la fecha del levantamiento de la información, se realizaron en los meses de junio o noviembre, para evitar que la referencia del consumo de los últimos 30 días sean meses de vacaciones o fiestas, como lo son febrero, julio y septiembre. El trabajo de campo se realizó de modo simultáneo en todo el país, con una duración máxima de 5 semanas y contó con coordinaciones provinciales. El operativo contó con las autorizaciones de los organismos nacionales y provinciales competentes (ministerios, secretarías o direcciones de educación) y encuestadores especialmente seleccionados y entrenados para tal fin acudieron a los establecimientos educativos seleccionados aleatoriamente.
Modo de levantamiento de la información: una vez que se seleccionaron aleatoriamente las aulas, se utilizó una hora de clase y, el o la encuestadora brindó a los y las estudiantes presentes en el curso una explicación sobre los objetivos del estudio, su carácter nacional e internacional, sobre la importancia de la información que se estaba solicitando, de cómo sería utilizada y la garantía de confidencialidad y anonimato de las respuestas. Fueron invitados e invitadas a participar voluntariamente en el llenado del cuestionario, de modo individual, anónimo y de auto gestión o auto llenado. Se les brindó la posibilidad de consultar –de modo privado- sobre alguna duda que las preguntas pudieran ocasionar, y luego de completar la encuesta, debía ser depositada en una caja destinada a tal fin. No hubo ninguna instancia de supervisión del llenado en el aula (si estaban completas o incompletas, o sobre el contenido de lo escrito).
Cuestionario: los diferentes estudios nacionales tienen un nivel de comparabilidad alto, aunque entre el estudio del año 2005 y el del año 2011, existieron algunas modificaciones, pero son comparables alrededor de 100 preguntas de los cuestionarios. Los indicadores de consumo (prevalencia, incidencia, edad de inicio y frecuencia de consumo) son comparables, del mismo modo que el conjunto de indicadores que se presentan en esta tesis.
2.3 Definición de los indicadores de consumo y comparabilidad de los mismos
El consumo de sustancias psicoactivas, específicamente, de bebidas alcohólicas, del consumo excesivo de bebidas alcohólicas o binge y de marihuana, informado por la población adolescente escolarizada, son los tres comportamientos en los cuales la tesis pondrá atención y serán observados en tanto variables dependientes. Tal como venimos describiendo, estos comportamientos fueron registrados a partir de un cuestionario de respuesta auto administrada, anónimo y voluntario, con la finalidad de estimar indicadores poblacionales o prevalencias, según grupos de interés analítico, como el género, el grado de cursado y el tipo de colegio, tal como les fue informado a las personas que efectivamente participaron del estudio.
En epidemiología, se denomina prevalencia a la proporción de individuos de un grupo o una población, que presentan una característica o evento determinado. Por lo general, se expresa como una fracción, un porcentaje o un número de casos por cada 10.000 o 100.000 personas. Se calcula dividiendo la cantidad de casos que presentan esa característica sobre el total de casos estudiados o expuestos al riesgo. La medida tiene una referencia temporal, que puede ser en un momento puntual o en períodos de tiempo (Bonita et al., 2008).
En el caso de las tasas de prevalencia en los estudios bajo análisis, es necesario aclarar lo siguiente:
Existen diferentes prevalencias de consumo de acuerdo al periodo de tiempo de referencia del mismo, es decir, prevalencia de vida (el consumo realizado tiene una referencia de alguna vez en la vida), del último año (el consumo realizado refiere a los últimos 12 meses) o del último mes (el consumo referido en los últimos 30 días) y todas tienen como referencia a la población total bajo estudio, expresado en porcentaje. Las prevalencias se calculan para cada sustancia por la cual se preguntó en el cuestionario, y en las de mayor consumo, como, por ejemplo, bebidas alcohólicas, tabaco, estimulantes y tranquilizantes sin prescripción médica, inhalables, marihuana, cocaína, pasta base, éxtasis, se elaboran preguntas distintas sobre los tres periodos de tiempo. En los últimos años este listado se fue modificando, incorporando las anfetaminas y metanfetaminas, por ejemplo. En cambio, para otras sustancias psicoactivas de baja prevalencia, como LSD, heroína, opio, morfina, Popper y otras, sólo se indaga el consumo ocurrido alguna vez en la vida y, por lo tanto, sólo será posible construir el indicador de prevalencia de vida.
Por consumo se entiende que la persona haya probado o consumido, aunque sea una sola vez, en el periodo de tiempo indagado. Por ello, son necesarias preguntas adicionales para conocer la frecuencia de uso, para caracterizar la intensidad de ese consumo, e indicadores de uso problemático.
Hay acuerdo internacional[13] en emplear las prevalencias de los últimos 30 días o prevalencia de mes, para dar cuenta de los consumos de mayor prevalencia, por ejemplo, tabaco y bebidas alcohólicas, ya que, precisamente por la cantidad de casos involucrados, hacen viable los análisis estadísticos bivariados o multivariados. Y en relación a las otras sustancias psicoactivas, como marihuana, cocaínas, éxtasis y las demás drogas ilegalizadas, se acuerda en considerar el indicador de la prevalencia de los últimos 12 meses o del último año. Esta consideración también toma en cuenta que, más allá de una significativa menor prevalencia de estas drogas, existe la posibilidad de una sub declaración por su condición jurídica. En este sentido, la referencia a los últimos 12 meses en relación al consumo de estas drogas, permite captar un mayor número de personas que informan sobre el consumo. Por esta razón, en esta tesis presentamos y analizamos la prevalencia de consumo de bebidas alcohólicas en el último mes y la prevalencia de año de marihuana.
El consumo excesivo de bebidas alcohólicas o consumo binge, es también una prevalencia, porque es una proporción que se calcula dividiendo el número de personas con un consumo específico (quienes tomaron 5 tragos o más en una misma ocasión), sobre el total de personas que consumieron bebidas alcohólicas en el último mes. En este sentido, es una prevalencia específica, porque la referencia poblacional es específica: quienes tomaron bebidas alcohólicas en el último mes y no la población total bajo estudio.[14]
Dado que son encuestas con diseños muestrales probabilísticos, las estimaciones de los parámetros poblaciones se realizan considerando un nivel de confianza del 95% y, por lo tanto, los indicadores expresados en porcentajes, tendrán un rango de variabilidad o coeficiente de variación, al interior del cual se encuentra el verdadero valor de la estimación. Este coeficiente de variación también informa sobre si las diferencias en el indicador observado, son significativas o no, en un ejercicio comparativo.
Entonces, los indicadores de consumo que se analizan en la tesis son:
Prevalencia del último mes de consumo de bebidas alcohólicas: es el porcentaje de estudiantes que respondieron haber tomado alguna bebida alcohólica en los últimos 30 días (anteriores a responder la encuesta) sobre el total de estudiantes encuestados. La prevalencia se construye a partir de las respuestas (si o no) dadas a la siguiente pregunta del cuestionario: ¿Has consumido bebidas alcohólicas en los últimos 30 días? Si no hubo respuesta, se contabiliza como negativo y forma parte del denominador para el cálculo de la prevalencia.
Consumo nocivo o excesivo de bebidas alcohólicas o consumo binge: es el porcentaje de estudiantes que tomaron 5 tragos o más en una misma ocasión o salida, en las últimas 2 semanas, sobre el total de estudiantes que tomaron alguna bebida alcohólica en el último mes. El indicador hace foco en lo episódico y excesivo del consumo y no en indicadores sobre consecuencias perjudiciales del consumo, ya sea en la vida cotidiana, en la familia o en la escuela. La pregunta que se formula en el cuestionario es:
En las últimas 2 semanas, ¿Cuántas veces has consumido 5 tragos o más, en una misma salida?
- Ninguna vez
- Sólo una vez
- Entre dos y tres veces
- Entre cuatro y cinco veces
- Más de cinco veces
El indicador de consumo binge se construye dividiendo el total de respuestas brindadas por quienes consumieron entre una vez a más de cinco veces, sobre el total de personas que consumieron alguna bebida alcohólica en los últimos 30 días o prevalentes de último mes.
En la tesis, con el objetivo de caracterizar al interior del consumo binge cuando se analizan los cambios en los años 2005, 2007, 2009 y 2011, se construyen tres indicadores: el binge, que reúne a todas las respuestas positivas dadas, independientemente de la frecuencia, sobre el total de estudiantes prevalentes de mes; el binge ocasional[15] o de una vez, que refiere a las respuestas de haber bebido 5 tragos o más sólo una vez, sobre el total de estudiantes prevalentes de mes y el binge frecuente de dos o más veces, que refiere a todas las respuestas que exceden la única vez, sobre el total de personas prevalentes de mes.
Prevalencia del último año de consumo de marihuana: es el porcentaje de estudiantes que respondieron haber consumido marihuana en los últimos 12 meses (anteriores a responder la encuesta) sobre el total de estudiantes encuestados. La prevalencia se construye a partir de las respuestas (si o no) dadas a la siguiente pregunta del cuestionario: ¿Has probado marihuana alguna vez en los últimos 12 meses? Si no hubo respuesta, se contabiliza como negativo y forma parte del denominador para el cálculo de la prevalencia.
Para analizar los posibles cambios en las prevalencias de consumo de bebidas alcohólicas, de consumo binge y de marihuana, se ajustaron los ponderadores de las bases de los años 2005, 2007, 2009 y 2011 para tener en cuenta el cambio en la estructura de edades. Se construyó un ponderador ajustado por edad a partir del ponderador existente y este procedimiento se realizó multiplicando la variable Pondera por un coeficiente (para cada grado) que se obtiene de la siguiente manera:
Coeficiente = media de cada tramo de edad / total por tramo y año
De esta manera se obtiene la variable Pondera_ajust, que se utilizó para realizar el análisis de las prevalencias, según sexo, grado de cursado (8°, 10° y 12°) y tipo de gestión del colegio (pública o privada).
2.4 Modelo de regresión logística multivariado
Para explicar la probabilidad de ocurrencia de un fenómeno, dependiente de los valores de ciertas variables explicativas, lo usual es ajustar un modelo probit o un modelo logit. Formalmente, dada una variable dicotómica que indica que la unidad i presenta o no cierto fenómeno bajo estudio (en este caso consumo de sustancia) y k variables asociadas , el modelo logit supone que la probabilidad de ocurrencia del fenómeno en el i-ésimo individuo, o sea cuando está dado por:

Donde los parámetros deben ser estimados a partir de las observaciones.
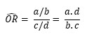
Un aspecto interesante del modelo logit es que la exponencial de los coeficientes nos da directamente el odds-ratio asociado a la variable explicativa Xj (ajustado por las restantes variables del modelo) Recordamos que el odds-ratio es una medida de asociación entre la ocurrencia de un fenómeno y la presencia de un factor asociado Xj. Este estadístico, en el caso de una sola variable explicativa dicotómica codificada como 1 (factor presente) y 0 (factor ausente), corresponde al cociente entre la probabilidad de que un fenómeno ocurra respecto de no ocurra en presencia de ese factor (cociente que se denomina el Odd entre los expuestos), versus la probabilidad de que el fenómeno ocurra respecto de que no ocurra en ausencia del factor (que corresponde al Odd entre los no expuestos). Por ejemplo, en un estudio transversal, como son los estudios sobre uso de drogas, en el cual observamos el consumo o no de cierta sustancia y la presencia o no de una cierta exposición, en la tabla siguiente se presentan los resultados en términos genéricos con las frecuencias designadas por a, b, c y d:

Según lo anterior, la estimación del odds-ratio se presenta como el cociente entre el uso y no uso de sustancia entre los expuestos, es decir a/b, y el cociente entre el uso y no uso de sustancia entre los no expuestos, es decir c/d, de tal forma que

Esto es una forma de expresar la fuerza de la asociación que un suceso ocurra frente a que no ocurra, dependiendo de la exposición a un factor. Un OR = 1 implica que la variable explicativa no tiene efecto en el evento estudiado (prevalencia del consumo), y se denomina valor de nulidad. Valores superiores a 1 indican que la presencia de la exposición aumenta la probabilidad de ocurrencia del evento estudiado, en cambio valores inferiores a la unidad son indicativos de que la presencia de la exposición disminuye la probabilidad de que ocurra el evento de interés.
En el análisis de esta tesis, el odds-ratio se refiere en general a la medida de asociación entre la prevalencia de consumo como variable dicotómica observada, y las variables explicativas de contexto relevadas en la encuesta (las detalladas en la tabla 2.1). A partir de los resultados obtenidos, se busca determinar si, dadas ciertas condiciones, la potencialidad de consumo se incrementa o disminuye bajo la presencia de ciertas situaciones de contexto.
Ya que los parámetros del modelo se estiman a partir de las observaciones, un aspecto importante es determinar si el odds-ratio observado es mayor (o menor) que 1 por un error de muestreo (no significativo) o refleja un parámetro poblacional mayor que 1. Para aceptar que la variable de contexto se asocia significativamente con la variable en estudio, se calcula un intervalo de confianza, con cierto nivel de confianza. Si este intervalo contiene al 1, se acepta la hipótesis nula: la variable no es relevante y el parámetro poblacional es igual a 1. Pero si el odds-ratio observado está fuera del intervalo, se rechaza la hipótesis nula y se acepta que hay un efecto de la variable explicativa sobre la variable estudiada. Ya sea aumentando la probabilidad de prevalencia (mayor que uno) o disminuyendo la probabilidad de prevalencia (odds-ratio menor que uno), tal como se mencionó anteriormente
2.5 Definiendo el modelo de regresión logística multivariado definitivo: evaluación de la pertinencia de las variables disponibles
En esta sección se muestra el proceso de evaluación de la pertinencia de las variables disponibles y comparables, en los estudios de los años 2005 y 2011, para ser incorporadas o no al modelo de regresión logística multivariado para el análisis de los datos, en tanto que son consideradas variables independientes. Para organizar la exposición y lectura de los datos fueron agrupadas en dimensiones conceptuales, ya que en el modelo ingresan sin esta clasificación. La tabla siguiente describe las 29 variables comparables entre los estudios del 2005 y 2011, indicando cómo fueron formuladas las preguntas en el cuestionario para recoger la información según las opciones de respuesta ofrecidas. La cuarta columna de la tabla 2.1 indica cuáles fueron los reagrupamientos de categorías que se hicieron para el ingreso al modelo de regresión logística multivariado para el primer análisis de selección de variables para el modelo definitivo.
Es importante aclarar que para facilitar la comprensión del impacto de un factor o variable en los consumos que buscamos analizar, es importante que sus categorías, además de cumplir con las condiciones de exclusividad y exhaustividad, expresen polaridades que nos permita identificar con mayor claridad situaciones que puedan ser de riesgo o de protección en los y las estudiantes, en relación a la probabilidad o no del consumo de cada una de las sustancias analizadas, y también se consideró la cantidad de casos o frecuencia en las categorías para hacer viable su ingreso al modelo de regresión logística. Tal como se comentó anteriormente, es la única maniobra que quien investiga, puede hacer respecto de los datos disponibles cuando se analiza una fuente de análisis secundaria.
Tabla 2.1: Listado de variables según preguntas del cuestionario y categorías ingresadas al modelo
# | Variable | Pregunta en el cuestionario | Categorías originales | Categorías ingresadas al modelo |
Dimensión personal | ||||
1 | Trabaja además de estudiar | ¿Trabajas además de estudiar? | Si / No | Si / No |
2 | Ingresos mensuales disponibles | ¿De cuánto dinero al mes dispones generalmente para tus gastos? | Nada / Menos de $40 / Entre $41 a $90 / Entre $91 a $120 / Más de $120(ª) | Mínimo (1° y 2° categoría) / Medio (3° y 4° categorías) / Alto (5° categoría) |
3 | Expectativas sobre las condiciones socioeconómicas de la familia en el futuro | ¿Cómo piensas que serán en el futuro las condiciones socioeconómicas de tu familia? | Buena / Regular / Mala / No sé | Buenas /Regular-malas |
4 | Expectativas sobre las condiciones socioeconómicas del entorno donde vive en el futuro. | ¿Cómo piensas que serán en el futuro las condiciones socioeconómicas en general de las familias de tu localidad? | Buena / Regular / Mala / No sé | Buenas /Regular-malas |
5 | Expectativas sobre las posibilidades de realizar en el futuro un proyecto personal, sea familiar, de estudios, de trabajo u otro. | ¿Cómo piensas que serán en el futuro las posibilidades de que puedas realizar un proyecto personal (familiar, estudios, trabajo, otros)? | Buena / Regular / Mala / No sé | Buenas /Regular-malas |
6 | Expectativas sobre si va a terminar el último año del secundario | ¿Cuán probable piensas vos que vas a terminar el último año del secundario? | Muy probable / Algo probable / Poco probable / Imposible/ No sé | Muy probable /Poco probable (2° y 3° categorías) / Imposible |
Dimensión escolar | ||||
7 | Repitencia durante los estudios | ¿Cuántos grados o cursos repetiste durante tus estudios? | Ninguno / Uno / Dos o más | No repitió / Si repitió (2° y 3° categorías) |
8 | Problemas de comportamiento o de disciplina durante los estudios | ¿Has tenido problemas de comportamiento o de disciplina durante tus estudios? | Frecuentemente / Pocas veces / Nunca | Nunca / Pocas veces-frecuente- mente |
9 | Evaluación de la exigencia académica del colegio | ¿Cuán exigente académicamente es tu colegio? | Mucho / Bastante / Algo / Poco / Nada (b) | Mucho-bastante / Algo-poco-nada / |
10 | Ausentismo frecuente | Durante este año, ¿Has faltado con frecuencia al colegio, cualquiera sea el motivo? | Si / No | Si / No |
Dimensión actitud y percepción sobre el consumo de sustancias | ||||
11 | Curiosidad por probar alguna droga ilícita | ¿Alguna vez sentiste curiosidad por probar alguna droga ilícita? | Si / No / Ya he probado (c) | No / Si |
12 | Probaría alguna droga ilícita de tener la ocasión | ¿Si tuvieras la ocasión, probarías alguna droga ilícita? | Si / No / Ya he probado (c) | No / Si |
13 | Cuán informado se siente sobre las consecuencias del consumo de drogas | ¿Cuán informado te sentís sobre las consecuencias del consumo de drogas (tabaco, alcohol, marihuana, pasta base, cocaína, etc.)? | Nada informado / Poco informado / Bien informado / No sé (d) | Nada-poco informado / Bien informado |
14 | Recepción de cursos de prevención del consumo de drogas | ¿Has recibido en tu colegio cursos sobre prevención del consumo de drogas? | No/ Recibí una vez /Recibí varias veces / No sé | No recibí / Si recibí una o varias veces |
15 | Percepción de riesgo de emborracharse con bebidas alcohólicas | ¿Cuál crees que es el riesgo que corre una persona que se emborracha con bebidas alcohólicas? | Ninguno / Riesgo leve / Riesgo moderado / Gran riesgo / No sé qué riesgo corre | Ninguno/ Leve-moderado / Gran riesgo /No sabe |
16 | Percepción de riesgo de fumar marihuana algunas veces | ¿Cuál crees que es el riesgo que corre una persona que fuma marihuana algunas veces? (e) | Ninguno / Riesgo leve / Riesgo moderado / Gran riesgo / No sé qué riesgo corre | Ninguno/ Leve-moderado / Gran riesgo /No sabe |
Dimensión grupo de pares | ||||
17 | Relación actual con los amigos más cercanos | ¿Cómo es la relación que actualmente tienes con tus amigos más cercanos? | Muy buena / Buena / Regular / Mala / Muy mala | Muy buena-buena / Regular /Mala-muy mala |
18 | Reacción de los amigos frente al consumo de marihuana | Si en tu grupo de amigos más cercanos supieran que fumas marihuana, ¿vos que piensas que harían? | Te dirían algo para que no lo hicieras / Algunos te dirían que no lo hicieras y otros no te dirían nada / No te dirían nada / Te alentarían para que lo hicieras / No sabes bien lo que harían o te dirían (f) | Algo para dejar de hacerlo /Unos dirían algo y otros nada /No dirían nada / No sé qué dirían |
19 | Reacción de los amigos frente al consumo de otra droga distinta a marihuana | Si en tu grupo de amigos más cercanos supieran que has probado una droga distinta de la marihuana, como cocaína, pasta base, éxtasis, ácidos o cosas parecidas, ¿vos que piensas que harían?? | Te dirían algo para que no lo hicieras / Algunos te dirían que no lo hicieras y otros no te dirían nada / No te dirían nada / Te alentarían para que lo hicieras / No sabes bien lo que harían o te dirían (f) | Algo para dejar de hacerlo /Unos dirían algo y otros nada / No dirían nada /No sé qué dirían |
Dimensión accesibilidad a marihuana | ||||
20 | Facilidad de acceso a marihuana | ¿Cuán fácil o difícil te sería conseguir marihuana? | Me sería fácil / Me sería difícil / No podría conseguir / No sé si sería fácil o difícil | Fácil / Difícil-no podría conseguir |
21 | Oferta de marihuana | ¿Cuándo fue la última vez que te ofrecieron marihuana, sea para comprar o probar? | Durante los últimos 30 días / Más de un mes, pero menos de un año / Hace más de un año / Nunca me han ofrecido | Si recibió oferta / No recibió oferta |
Dimensión atención parental | ||||
22 | Los padres no saben a dónde estás | Después que salís del colegio o durante los fines de semana, ¿Cuántas veces ocurre que tu mamá o tu papá no saben dónde estás? Digamos por un período de una hora o más. | Nunca o casi nunca saben dónde estoy / A veces no saben / Siempre o casi siempre saben dónde estoy | Nunca-a veces no saben dónde estoy/ Siempre o casi siempre saben dónde estoy |
23 | Supervisión de los programas de TV que ves | En general, ¿alguno de tus padres se fija o conoce los programas que ves en la televisión? | Si / No | Si / No |
24 | Cuán atento están los padres en lo que haces en el colegio | ¿Cuán atentos están tus padres (o alguno de ellos) respecto de lo que haces en el colegio? | Mucho / Bastante / Poco / Nada | Mucho-bastante / Poco-nada |
25 | Cantidad de días que los padres comparten la mesa contigo | En una semana normal, ¿Cuántos días se sientan a comer juntos, vos y tus padres (o alguno de ellos), en la misma mesa, ya sea para desayunar, almorzar, merendar o cenar? | Ninguno / Uno / Dos / Tres / Cuatro / Cinco / Seis / Todos los días | Seis y siete días / Cinco y menos días |
26 | Control del horario de llegada en las salidas nocturnas del fin de semana | Durante los fines de semana, ¿tus padres (o alguno de ellos) te controlan a qué hora llegas a tu casa en la noche? | Si / No | Si / No |
27 | Interés de los padres por saber a dónde van cuando sales de la casa | Cuando salís de la casa en las tardes o los fines de semana, ¿tus padres (o alguno de ellos) te preguntan y/o esperan que vos les digas a dónde vas? | Si / No | Si / No |
28 | Cuánto los padres conocen a tus amigos/as | En general, ¿Cuánto crees que tus padres (o alguno de ellos) conocen a tus amigos más cercanos? | Bastante / Más o menos / Poco / Nada | Bastante / Más o menos-poco-nada |
29 | Escala de atención parental | Bajo (valores del 0-3) Medio (valores 4 y 5) Alto (valores 6 y 7) |
- Esas categorías son del cuestionario del año 2011, en el 2005 fueron: Menos de $30 / Entre $31 a $60 / Entre $61 a $ 90 /Entre $91 a $120 / Más de $ 120.
- En el cuestionario del año 2005 no estaba la opción Nada.
- En el cuestionario del año 2005 no estaba la opción Ya he probado. En 2005 se denomina droga ilegal y en 2011, droga ilícita.
- En el cuestionario del año 2005, se preguntó: ¿Te sentís lo suficientemente informado sobre las consecuencias del consumo de drogas, como tabaco, alcohol, marihuana, pasta base, cocaína, etc.?
- El cuestionario del año 2011 ofreció una tercera alternativa en la percepción de riesgo que indicaba con claridad el uso experimental: “una o dos veces”, diferente de “algunas veces” y de “frecuentemente”. El cuestionario de 2005 sólo diferenciaba “alguna vez” de “frecuentemente”.
- El cuestionario de 2005 no brindó la categoría de respuesta “te alentarían para que lo hicieras”.
Los criterios empleados para evaluar el rendimiento de las variables en el modelo, esto es, identificar las variables que efectivamente cumplen un rol en la ocurrencia de los consumos analizados, ya sea de incrementar o disminuir la probabilidad del consumo (de bebidas alcohólicas, consumo binge y de marihuana) y decidir su incorporación al modelo, fueron: a) La pertinencia teórica del peso de las variables vinculadas directamente al consumo de sustancias psicoactivas, como por ejemplo la percepción de riesgo, accesibilidad, la curiosidad y decisión de consumir. b) La significación de la asociación del consumo de cada sustancia analizada con cada variable y el valor del estimador del coeficiente que da cuenta de la magnitud de la asociación (odds-ratio).[16] Y c) La coherencia interna de la variable según el sentido de la asociación y de acuerdo a la expectativa sobre cómo debería comportarse el indicador (incrementando o disminuyendo la probabilidad del consumo) según grados y género.
Este primer modelo fue analizado en la base de datos del estudio del año 2005, para los seis subgrupos de análisis -según año de cursado y género- y en relación al consumo de bebidas alcohólicas, el consumo binge de alcohol y el consumo de marihuana. Los resultados se detallan a continuación:
Las siguientes variables, cuya descripción detallada de los odds-ratio observados se encuentra en el Anexo (Tablas A1 y A2) por lo general no presentaron asociación significativa coherente en ninguno de los consumos, o bien, no estuvieron asociadas con algún consumo en particular, sea de bebidas alcohólicas, de consumo binge o marihuana, razón por la cual, no serán incluidas en el modelo de regresión logística:
Expectativas sobre las condiciones socioeconómicas de la familia en el futuro (variable 3, dimensión personal): cuando las estudiantes tienen regulares o malas expectativas, es un factor que disminuye la probabilidad del consumo de alcohol y de marihuana en el 8° grado, pero interviene incrementando el consumo binge en el 10°. No se asocia a ningún consumo en los estudiantes varones.
Expectativas sobre las condiciones socioeconómicas del entorno donde vive en el futuro (variable 4, dimensión personal): cuando los/as estudiantes tienen regulares o malas expectativas, es un factor que incrementa la chance del consumo de alcohol y de consumo binge en las mujeres del 8° grado, mientras que es un factor que disminuye significativamente el consumo binge en los estudiantes varones del 10° grado.
Cuán informado se siente sobre las consecuencias del consumo de drogas (variable 13, dimensión sobre consumo). El sentirse bien informado interviene significativamente incrementando la probabilidad de consumo de alcohol en los varones del 8° grado, pero a la inversa en los del 12° grado. Interviene incrementando la probabilidad de consumo binge en las mujeres del 10° grado, pero la disminuye cuando están en el 8° grado. Impacta como factor de riesgo frente al consumo de marihuana en los varones del 8° grado, pero la disminuye en las mujeres del mismo grado.
Si ha recibido en el colegio cursos sobre prevención del consumo de drogas (variable 14, dimensión sobre consumo). El haber recibido una vez o varias veces cursos de prevención no impacta en los consumos de bebidas alcohólicas y de marihuana, pero interviene incrementando la probabilidad de consumo binge, en ambos géneros cuando están en el 8° grado y en las mujeres del 12° grado.
Sin duda, las cuatro variables arriba mencionadas refieren a temas y aspectos muy importantes en relación al contexto en el cual se encuentran los y las adolescentes y en relación a los consumos de sustancias psicoactivas, sin embargo, los resultados encontrados de acuerdo al modelo de regresión logística diseñado, no estarían indicando un sentido claro del impacto de las mismas en los consumos analizados. La pregunta que surge tiene que ver con problemas estrictamente metodológicos, ¿ha sido el mejor modo de preguntar?, ¿Qué implica la recepción de cursos de prevención del consumo de drogas?, ¿Qué implica sentirse bien informado sobre las consecuencias del consumo de drogas?, ¿Qué información buscamos con la pregunta sobre las expectativas de las condiciones socioeconómica de la familia y el entorno? Retomaremos estas preguntas en el capítulo de las conclusiones y recomendaciones.
Para tomar la decisión sobre el ingreso al modelo de regresión logística de cada una de las siete variables que conforman la escala de atención parental, o, de la escala en tanto índice (Alto, Medio y Bajo), se evaluaron ambas alternativas. Los resultados obtenidos indican (ver tabla siguiente), que las variables tienen un impacto diferencial según el tipo de sustancia psicoactiva, e incluso, pierden relevancia como determinante en el consumo de marihuana. En este marco, se decide incorporar la variable Escala de atención parental en el modelo definitivo, considerando sus categorías Bajo, Medio y Alto.
Tabla 2.2: Síntesis+ del impacto de las variables de la Escala de atención parental. Base 2005
# | Variables | Evaluación de la asociación/impacto | |
Consumo de bebidas alcohólicas | Consumo de marihuana | ||
1 | Después que sales del colegio o durante los fines de semana, ¿Cuántas veces ocurre que tu madre o tu padre no saben dónde estás? Alternativa Siempre saben dónde estoy | Retrae la chance del consumo en todos los cursos y en ambos géneros | Sólo disminuye el consumo en varones del 12° |
2 | En general, ¿alguno de tus padres se fija en los programas que ves en televisión? Alternativa No se fijan | Incrementa la chance de consumo en varones y mujeres del 8° y 10° y sólo en mujeres del 12° | No impacta |
3 | Cuán atentos están tus padres (o alguno de ellos) respecto de lo que haces en el colegio. Alternativa Poco o nada atentos | No impacta | Incrementa la chance del consumo en varones del 10° y mujeres del 12° |
4 | En una semana normal, ¿Cuántos días se sientan a comer juntos, vos y tus padres (o alguno de ellos), en la misma mesa, para desayunar, o almorzar, o merendar o para cenar? Alternativa 5 días o menos | Incrementa la chance de consumo en varones y mujeres del 8° y en varones del 12° | No impacta |
5 | Durante los fines de semana, ¿tus padres (o alguno de ellos) te controlan a qué hora llegas a tu casa en la noche? Alternativa No controlan la hora de llegada | Incrementa la chance de consumo en el 8° y 10° en ambos géneros | Incrementa la chance de consumo en mujeres del 8° y en varones del 12° |
6 | Cuando salís de tu casa en las tardes o en los fines de semana, ¿tus padres (o alguno de ellos) te preguntan y/o esperan que les digas a dónde vas? Alternativa No preguntan dónde voy | Incrementa chance de consumo sólo en mujeres del 8° y 12° | Incrementa chance de consumo sólo en mujeres del 10° |
7 | En general, ¿Cuánto crees que tus padres (o algunos de ellos) conocen a tus amigos más cercanos? Alternativa Conocen más o menos, poco o nada | Incrementa la chance de consumo en las mujeres del 8°, hombres del 10° y ambos del 12° | No impacta |
Fuente: Elaboración propia. Base Estudio Nacional en Estudiantes de Enseñanza Media. Argentina 2005. + Ver Tablas A3 y A4 en el Anexo
A partir del ejercicio realizado sobre el impacto de cada una de las variables de la escala de atención parental en los consumos según género, se desprende que determinadas actitudes de los padres impactan de modo diferente según se dirijan a mujeres o a varones. Por ejemplo, cuando los padres o alguno de ellos no tienen una actitud de interés por saber a dónde se dirigen cuando salen a las tardes o los fines de semana (según lo reportado por los y las estudiantes), sólo impacta como un factor de riesgo en el consumo de alcohol y marihuana en las estudiantes mujeres, pero no en los varones. Por el contrario, cuando la población estudiada no se siente controlada en la hora de llegada luego de una salida de fin de semana, opera como factor de riesgo en ambos géneros de los cursos 8° y 10°. En los varones del último año, la falta de control sobre dónde están o a qué hora llegan luego de una salida nocturna, juega un rol importante en el incremento del consumo de marihuana.
Luego de este proceso de puesta a prueba de variables, queda definido el modelo de regresión logística multivariado, mediante el cual será evaluado el conjunto de condiciones o factores seleccionados e interactuando al mismo tiempo, en la población escolar situada en sus cursos, analizados en conjunto y en forma separada varones y mujeres, tanto en el año 2005 como en 2011 y en relación a los tres consumos de sustancias psicoactivas.
En la siguiente tabla se presentan las variables y las categorías del modelo de regresión logística multivariado para analizar los factores de riesgo y de protección en relación a los consumos de bebidas alcohólicas, consumo binge y consumo de marihuana, en los y las estudiantes del nivel medio en Argentina en los años 2005 y 2011.
Tabla 2.3: Modelo de regresión logística multivariado: listado de variables. Años 2005 y 2011
Dimensiones y variables | Categorías en el modelo | Bebidas alcohólicas | Consumo binge | Marihuana |
Dimensión personal
| ||||
Trabaja además de estudiar | No / Si | |||
Ingresos mensuales disponibles | Mínimo / Medio /Alto | |||
Expectativas sobre las posibilidades de realizar en el futuro un proyecto personal, sea familiar, de estudios, de trabajo u otro. | Buenas / Regular-malas | |||
Expectativas sobre si va a terminar el último año del secundario. | Muy probable /Poco probable /Imposible | |||
Dimensión escolar
| ||||
Tipo de gestión del colegio. | Estatal /Privada | |||
Repitencia durante los estudios. | No repitió / Si repitió | |||
Problemas de comportamiento o de disciplina durante los estudios. | Nunca /Pocas veces-frecuentemente | |||
Evaluación de la exigencia académica del colegio. | Mucho-bastante / Algo-poco-nada | |||
Ausentismo frecuente | Si / No | |||
Dimensión actitud y percepción sobre el consumo de sustancias psicoactivas
| ||||
Curiosidad por probar alguna droga ilícita. | No / Si | |||
Probaría alguna droga ilícita de tener la ocasión. | No / Si | |||
Percepción de riesgo de emborracharse con bebidas alcohólicas. | Ninguno/Leve-moderado / Gran riesgo /No sabe | |||
Percepción de riesgo de fumar marihuana algunas veces. | Ninguno/ Leve-moderado / Gran riesgo / No sabe | |||
Fumó tabaco en el último año. | No / Si | |||
Tomó bebidas alcohólicas en el último año. | No / Si | |||
Dimensión grupo de pares
| ||||
Relación actual con los amigos más cercanos. | Muy buena-buena / Regular /Mala-muy mala | |||
Reacción de los amigos frente al consumo de marihuana. | Algo para dejar de hacerlo /Unos dirían algo y otros nada /No dirían nada / No sé qué dirían | |||
Reacción de los amigos frente al consumo de otra droga distinta a marihuana. | Algo para dejar de hacerlo/Unos dirían algo y otros nada / No dirían nada /No sé qué dirían | |||
Dimensión relacionada a la disponibilidad de marihuana
| ||||
Facilidad de acceso a marihuana. | Fácil / Difícil-no podría conseguir | |||
Oferta de marihuana. | Si recibió oferta / No recibió oferta | |||
Dimensión atención parental
| ||||
Escala de atención parental. | Bajo / Medio / Alto |
La Encuesta nacional del año 2011 incorporó nuevas variables de mucho interés para esta tesis, pero al no tener su comparabilidad con el estudio del año 2005, no fueron incorporadas en el modelo de regresión logística multivariado presentado. De todas maneras, y como un análisis adicional, se crea un nuevo modelo para el año 2011 que contiene estas variables, de manera de conocer el impacto de estos factores en el contexto de todas las variables que conforman el modelo de regresión logística multivariado. Los resultados encontrados para estas variables se analizan de modo adicional y complementario al análisis del 2011. Las variables que se adicionan son tres y que darán lugar a una nueva dimensión: consumo de sustancias psicoactivas en el entorno, ya que refieren al entorno de los y las estudiantes, el consumo de alcohol y marihuana en sus grupos de amigos y el consumo de alguna droga ilícita en sus hogares.
Tabla 2.4: Variables adicionales en el Modelo de regresión logística multivariado del 2011
Dimensión consumo de sustancias psicoactivas en el entorno | Categorías en el modelo | Bebidas alcohólicas | Consumo binge | Marihuana |
Cantidad de amigos que toman regularmente alcohol | Ninguno /La mitad o menos /Todos o casi todos | |||
Cantidad de amigos que fuman regularmente marihuana | Ninguno /La mitad o menos /Todos o casi todos | |||
Consumo de alguna droga ilícita en la casa. | Si / No |
Recapitulando:
A modo de cierre de este capítulo, queda definida la estrategia de conocimiento para dar respuesta a las preguntas de la tesis y dar cumplimiento a los objetivos propuestos, de acuerdo a las posibilidades y limitaciones que impone el diseño metodológico de las fuentes de información a utilizar y que también han sido detalladamente descriptas. También se presentaron las definiciones conceptuales y operacionales de los indicadores de consumo que serán analizados en su tendencia y en el impacto que sobre ellos tienen, o no, los factores de riesgo y de protección disponibles y seleccionados de acuerdo a su comparabilidad en el periodo 2005-2011. Por otra parte, se presentó el modelo de análisis de regresión logística multivariado, especificando en qué consiste y cuál es su alcance explicativo en este análisis y finalmente, se describió el proceso de diseño final del modelo de regresión logística multivariado y se detallaron las variables que lo conforman, de acuerdo a cada tipo de consumo a ser analizado.
En el capítulo siguiente, se presenta el marco teórico, que por un lado hizo posible la formulación de las preguntas de conocimiento que la tesis busca responder, al abordar las consideraciones de género y las cuestiones metodológicas que esta perspectiva despierta. Por otro lado, desarrolla cómo se consolida la epidemiología del riesgo como modo de conocer y explicar los fenómenos de salud-enfermedad y el rol que tienen los factores de riesgo y de protección en tanto determinantes de estos fenómenos.
- El Programa SIDUC surge de la necesidad de cumplimentar lo recomendado por la Estrategia Antidrogas en el hemisferio convocada por la Comisión Interamericana para el Control del Abuso de Droga (CICAD) de la Organización de Estados Americanos (OEA), que fuera aprobada durante el XX° Periodo de Sesiones de la CICAD en Buenos Aires, en noviembre de 1996 y formalmente suscripta por los países miembros en la reunión que se realizó en Montevideo, Uruguay, en diciembre de ese mismo año. Cumplimentando una ratificación de la reunión de Uruguay, se realizó la Reunión Técnica de los Coordinadores Nacionales del SIDUC, que consistió en definir y decidir la puesta en práctica del proyecto, elaborando los indicadores definitivos. Durante el XXI° Periodo de Sesiones, en Washington D.C. en abril de 1997, se identificaron las 40 tareas prioritarias que constituyeron el llamado “Plan de Acción para la Implementación de la Estrategia Antidrogas en el hemisferio”. En marzo del año 2001, en Santo Domingo, República Dominicana, se realiza la última reunión técnica sobre ajustes, fortalecimiento y metodología para la recolección de datos del Proyecto SIDUC, con la presencia de 34 coordinadores nacionales, formulando como documento final la versión definitiva de los cuestionarios a aplicar en cada uno de los indicadores.
↵ - En el año 2001, cuando Argentina realiza el Primer Estudio Nacional en Estudiantes de Enseñanza Media, aún el Observatorio Argentino de Drogas no existía y se realiza desde la Oficina de Planificación Estratégica dependiente del secretario de Estado. La ejecución de la encuesta complementariamente al compromiso con la OEA, responde a las obligaciones contraídas por la República Argentina como miembro participante del proyecto AD/RLA/D74 a D78 del PNUFID “Sistema Subregional de Información y Capacitación de Recursos Humanos en Prevención, Asistencia e Investigación sobre Consumo de Drogas”, conjuntamente con Bolivia, Chile, Perú y Uruguay, que contempla también la realización de una encuesta escolar con periodicidad de cada dos años, con un crédito del Programa de Naciones Unidas.↵
- El cómo se gestionan los consensos en un organismo multilateral, en el marco de acuerdos políticos, del acceso a fondos de financiamiento y de la gestión operativa de líneas de investigación, es un asunto complejo cuyo análisis no está considerado en esta tesis.↵
- En Argentina, las muestras en los estudios nacionales sobre consumo de sustancias psicoactivas en estudiantes del nivel medio siempre consideraron un diseño que fuera representativo a nivel provincial, para garantizar la elaboración de indicadores a ese nivel, en el marco de los acuerdos con el Consejo Federal de Drogas (COFEDRO), conformado por los y las delegados/as de los gobiernos provinciales.↵
- El primer estudio nacional en estudiantes del nivel medio del año 2001, fue financiado en su totalidad con fondos del proyecto AD/RLA/D74 a D78 del PNUFID “Sistema Subregional de Información y Capacitación de Recursos Humanos en Prevención, Asistencia e Investigación sobre Consumo de Drogas” y el del año 2005 y 2007 tuvo un financiamiento parcial de UNODC, en el marco del mismo proyecto.↵
- En el marco del Sistema Subregional de Investigación e Información sobre Drogas, de la Oficina de Naciones Unidas contra las Drogas y el Delito (UNODC), que contó a partir del año 2005, con el apoyo técnico y la participación del OID de la CICAD-OEA. En el marco de este programa, de manera conjunta se publicaron dos análisis multicéntricos en base a las encuestas en estudiantes del nivel medio: Jóvenes y Drogas en Países Sudamericanos: un desafío para las Políticas Públicas – 2006. Este informe presenta los resultados de un estudio comparativo realizado en nueve países de Sudamérica: Argentina, Bolivia, Brasil, Chile, Colombia, Ecuador, Paraguay, Perú y Uruguay. Y en el año 2009 se publicó el Informe Subregional sobre Uso de Drogas en Población Escolarizada – 2009, con información de Argentina, Bolivia, Chile, Ecuador, Perú y Uruguay. Ambos informes pueden consultarse en
http://www.cicad.oas.org/Main/Template.asp?File=/oid/pub_spa.asp↵ - La línea de investigación y reflexiones metodológica sobre el uso de fuentes secundarias para el análisis de los fenómenos sociales tiene en Argentina a Susana Torrado como una de sus mejores exponentes, en el marco del Programa de Investigaciones Sociales sobre Problemas de Población Relevantes para Políticas de Población en América Latina (PISPAL) y del Centro Latinoamericano y Caribeño en Demografía (CELADE).↵
- En el análisis se seleccionaron las variables que se consideraron significativas con OR con valores p-value <0.2.↵
- En esos años se denominaba Secretaría de Programación para la Prevención de la Drogadicción y la Lucha contra el Narcotráfico, de Presidencia de la Nación y los estudios estuvieron bajo la dirección y supervisión técnica del Observatorio Argentino de Drogas. En todos estos estudios fui la responsable de su dirección y análisis. ↵
- Proyecto en el cual participaron los Observatorios Nacionales de Drogas de las Comisiones de Nacionales de Drogas de Argentina, Bolivia, Chile, Colombia, Ecuador, Perú y Uruguay.↵
- El Programa SIDUC tuvo entre 2001 al 2013, diferentes momentos en términos de su capacidad de liderazgo, dependiendo de condiciones institucionales de la CICAD, tales como la disponibilidad de fondos para la asistencia a los países, la capacidad técnica de liderar proyectos, la articulación con el Mecanismo de Evaluación Multilateral, por ejemplo.↵
- Matrículas correspondientes a los grados 8°, 10° y 12°, según datos nacionales del año 2019, pero los pesos relativos son muy estables en los años mencionados.↵
- Lo demuestran todos los informes mundiales y regionales sobre el consumo de drogas en diferentes poblaciones. De todas maneras, en los informes nacionales sobre consumo de sustancias psicoactivas en población general y en estudiantes de enseñanza media se presentan todas las prevalencias, porque de acuerdo al tipo de análisis que se pretenda realizar, la información sobre las tres estimaciones es muy importante. ↵
- El indicador binge también puede ser estimado sobre el total de personas, pero esa tasa indicaría una medida poblacional del uso excesivo de alcohol y en esta tesis, hacemos referencia a la tasa como uso excesivo sobre el total de consumidores de bebidas alcohólicas durante el último mes y, por ende, sus proporciones son mayores.↵
- La conceptualización de binge ocasional o frecuente está tomado del estudio de la Harvard School of Public Health College Alcohol Study, donde se definió binge ocasional a los que consumieron de forma intensiva 1 o 2 veces en las últimas dos semanas (Parada et al. 2010:58). En la tesis, en cambio, y dadas las categorías existentes en los cuestionarios, el binge ocasional será definido cuando esa ingesta ocurrió una vez. ↵
- En el análisis se seleccionaron las variables que se consideraron significativas con OR con valores p-value ≤.02.↵







